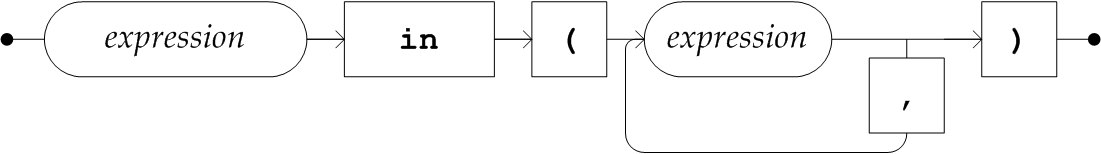
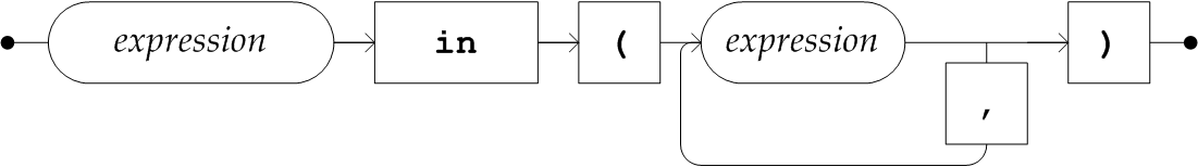
Syntax Diagrams

The syntax diagrams shows the structure of a query and of each clause in a query.

Read them from left to right. Items above or below the main line are optional. Items that can repeat are shown by lines that loop back from the end to the beginning of the repeating section, along with the separator character.

Expression

Boolean Expression

Between Expression

Comparison Expression

In Expression

Logical Expression

DateTime Expression

Entity Expression

Number Expression

Int Expression

Long Expression

Double Expression

String Expression

Identifier-Dependent Expression