Standard Deviation 


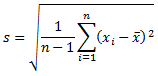
The standard deviation (StdDev), s, is an indication of how dispersed the probability distribution is about its center. It is computed as follows:

where

If the number of values (n) is one, an error is returned.

See also:

Aggregations Overview