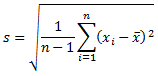
The standard deviation (StdDev), s, is an indication of how dispersed the probability distribution is about its center. It is computed as follows:

where
is the average value of the group
n is the number of values in the group (Count)
If the number of values (n) is one, an error is returned.
See also: