Variance 


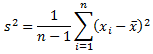
The sample variance, s2, is an indication of how dispersed the probability distribution is about its center. It is calculated as follows:

images/stat_variance_unbiased_eq.png

where

If the number of values (n) is one, an error is returned.

See also:

Aggregations Overview