Square Euclidean distance and Half Square Euclidean distance
Two common distance measures for calculating similarities when doing hierarchical clustering are the Square Euclidean distance and the Half Square Euclidean distance.
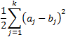
The Square Euclidean distance between two points, a and b, with k dimensions is calculated as:
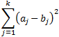
The
Half Square Euclidean distance between two points,
a and
b, with
k dimensions is calculated as:


The half square Euclidean distance is always greater than or equal to zero. The measurement would be zero for identical points and high for points that show little similarity.
The figure below shows an example of two points called a and b. Each
point is described by five values. The dotted lines in the figure are the
distances (a1-b1), (a2-b2),
(a3-b3), (a4-b4) and
(a5-b5) which are entered in the equation above.


Parent topic: Distance measures