Standard Deviation
The standard deviation (StdDev), s, is an indication of how dispersed the probability is about its center.
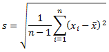
It is computed as follows:

where
is the
average value of the group
- n is the number of values in the group (Count)
If the number of values (n) is one, an error is returned.
Parent topic: Aggregations and statistical measures