Statistical Estimation - ADF Estimation

The Chi-square statistics based on ML and GLS estimation procedures assume multivariate normality of the data. When this assumption is violated, the resulting test statistic will, in general, no longer have a c2 distribution, and can therefore mislead during the fit evaluation process. Browne (1982, 1984) proposed procedures which will lead to a correct Chi-square statistic under much more general conditions.

Suppose the covariance structure model is expressed in the form

S = S(q) + Esamp(61)

For any p ´ p symmetric matrix A, let vecs (A) be the vector composed of the p(p +1)/2 nonduplicated elements of A. Defining

s = vecs (S)(62)

s(q) = vecs (S(q)) (63)

e = vecs (Esamp)(64)

one can express the model of Equation 61 alternatively as

s = s(q) + e(65)

Browne (1984) showed that

e* = (N - 1)1/2e(66)

has, under a true null hypothesis, an asymptotic distribution which is multivariate normal with null mean vector and variance-covariance matrix Y. Moreover, the generalized least squares discrepancy function of the form

(67)

has the property that if U is selected to be a consistent estimator of Y, then

χ2 = (N - 1)F(s, s(q)) (68)

will have an asymptotic Chi-square distribution under very general distributional assumptions. Both the IRGLS and GLS discrepancy functions discussed above can be expressed in the form of Equation 67. However, they incorporate a U matrix which is generally a consistent estimator of Y only under the assumption of multivariate normality. Modifying U so that it is a consistent estimator of Y under more general assumptions will allow the assumption of multivariate normality to be dispensed with, thus leading to "asymptotically distribution free" (ADF) procedures for the analysis of covariance structures.

ADF procedures have seldom been used in practice, although it seems that the assumption of multivariate normality is frequently contestable with data in the behavioral sciences. One reason for the lack of popularity of ADF procedures is that they were not implemented in widely available computer software like LISREL VI, EzPATH 1.0, or COSAN.

There are other serious practical problems with ADF estimation procedures. First, U can, in practice, be a very large matrix, thus imposing practical limits on the size of the problem which can be processed. Second, the elements of U require estimates of second and fourth-order moments of the manifest variables. Such estimates have large sampling variability at small to moderate sample sizes, so, in general, one might expect the Chi-square test statistic (and associated estimates) based on ADF estimation to converge somewhat more slowly to the asymptotic behavior than comparable normal theory estimation procedures.

However, there seems little justification for performing normal theory estimation and testing procedures on data which are clearly non-normal, especially when the sample size is large and the numbers of variables and unknowns moderate. The current version of SEPATH therefore supports two versions of ADF estimation.

Browne (1984) showed that, with the typical definitions for the first, second, and fourth-order sample moments about the mean, i.e.,

(69)

(70)

(71)

(72)

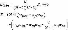
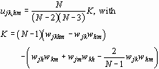
a typical element of Ug, a consistent and Gramian (but not unbiased) estimator of Y, is given by

(73)

The ADFG option in SEPATH minimizes the discrepancy function in Equation 67 with U = Ug.

Browne (1984) also showed how to obtain unbiased estimates of the elements of Y. A matrix Uun containing these unbiased estimates has typical element

(74)

The "ADF Unbiased" option in SEPATH minimizes the discrepancy function in Equation 67 with
 U = Uun.