Statistical Estimation - Maximum Wishart Likelihood Estimation

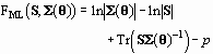
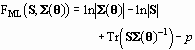
A more complex function is the Maximum Wishart Likelihood (ML) discrepancy function. This function may be written

(56)

where Tr( ) denotes the trace operator, |S| the determinant of S, the unbiased sample covariance matrix, and p is the number of manifest variables. If S has a Wishart distribution (a somewhat less restrictive assumption than the requirement that the observed variables follow a multivariate normal distribution), minimizing the ML discrepancy function produces Maximum Wishart Likelihood Estimates, i.e.,

(57)