Capability Ratios for True Position - Computational Details
The standard potential capability index for a process in a single dimension is defined as Cp=(USL-LSL)/(6*Sigma).
By taking the radius of a circle as 1/2 of the quantities defined in the numerator and denominator of this equation, Positional Cp can be computed as:
where D is the tolerance diameter.
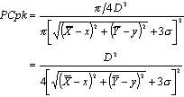
Positional Cpk is computed as:

Default specification limits for individual X/Y dimensions
If individual specification limits (for X and Y) are not specified on the Capability ratios for True Position dialog - Specification tab, then default LSL/USL limits are computed as:
True Position +/- Positional Tolerance * sin(45)
where sin(45) = .70711, and
Positional Tolerance = (Tolerance diameter)/2
For additional details, see Krishnamoorthi, 1990. See also Capability Ratios for True Position - Introductory Overview.