Indices of Skewness and Kurtosis - Indices of Univariate Kurtosis

Uncorrected univariate kurtosis
For variable xj, this index is defined as

(175)

The uncorrected estimate is biased. The following corrected univariate kurtosis is an unbiased estimate when the distribution is normal.

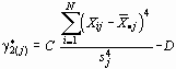
Corrected univariate kurtosis
This index is defined as

(176)

where

(177)

and

(178)

The asymptotic variance of these measures is 24/N, which is used to standardize the uncorrected kurtosis to produce the "normalized" kurtosis printed by the program.