Manipulating Display Fields With Prefix Operators

You can use prefix operators to perform calculations directly on the values of fields.

Note: Unless you change a column or ACROSS title with an AS phrase, the prefix operator is automatically added to the title. Without an AS phrase, the column title is constructed using the prefix operator and either the field name or the TITLE attribute in the Master File (if there is one):

  • If there is no TITLE attribute, the field name is used.
  • If there is a TITLE attribute in the Master File, the choice between using the field name or the TITLE attribute depends on the value of the TITLES parameter:
    • If SET TITLES = ON, the TITLE attribute is used.
    • If SET TITLES = OFF or NOPREFIX, the field name is used.

You can use the SET PRFTITLE command to create descriptive and translatable column titles for prefixed fields. For example, the following request sets PRFTITLE to LONG.

SET PRFTITLE = LONG
TABLE FILE WF_RETAIL_LITE
SUM COGS_US CNT.COGS_US AVE.COGS_US CNT.DST.COGS_US MIN.COGS_US MAX.COGS_US MDN.COGS_US 
BY PRODUCT_CATEGORY
ON TABLE SET PAGE NOLEAD
ON TABLE SET STYLE *
GRID=OFF,$
ENDSTYLE
END

The output is shown in the following image. The prefix operator names are converted to descriptive text.

If PRFTITLE had been set to SHORT (the default), the prefix operator name would have been used instead of the descriptive text.

For a list of prefix operators and their functions, see Manipulating Display Fields With Prefix Operators.

Prefix Operator Basics

This topic describes basic syntax and notes for using prefix operators.

Use Prefix Operators

Each prefix operator is applied to a single field, and affects only that field.

{SUM|COUNT} prefix.fieldname AS 'coltitle'
{PRINT|COMPUTE} RNK.byfield

where:

prefix

Is any prefix operator.

fieldname

Is the name of the field to be displayed in the report.

'coltitle'

Is the column title for the report column, enclosed in single quotation marks.

byfield

Is the name of a vertical sort field to be ranked in the report.

Usage Notes for Prefix Operators

  • Because PRINT and LIST display individual field values, not an aggregate value, they are not used with prefix operators, except TOT. and DST.
  • To sort by the results of a prefix command, use the phrase BY TOTAL to aggregate and sort numeric columns simultaneously. For details, see Sorting Tabular Reports.
  • The WITHIN phrase is very useful when using prefixes. The WITHIN phrase is not supported with the MDN., MDE., DST., CNT.DST., AVE.DST., or SUM.DST. prefix operators in an aggregation display command, such as SUM. The WITHIN phrase is supported with the DST. operator with the PRINT display command.
  • You can use the results of prefix operators in COMPUTE commands.
  • With the exception of PCT., RPCT., CNT. and PCT.CNT., resulting values have the same format as the field against which the prefix operation was performed.
  • For percent-based prefix operators PCT. and RPCT., if you set the PCTFORMAT parameter to OLD, resulting values have the same format as the field against which the prefix operation was performed. By default, PCTFORMAT is set to PERCENT, which displays the prefixed column with a percent sign and removes other options, such as currency symbols, although you can reformat it. PCT.CNT.field will always display with two decimal places and a percent sign, unless reformatted. With PCTFORMAT = PERCENT, the format of the output column may depend on the format of the original field. For a field with a:
    • Precision-based format (F, D, M, X), the column will display with length 7 and two decimal places.
    • Packed format, the column will display with its original number of decimal places.
    • Integer format, the column will display with no decimal places.
  • Text fields can only be used with the FST., LST., and CNT. prefix operators.
  • PCT., TOT., PCT.CNT., RNK., and RPCT. are not supported with TABLEF and should not be used with TABLEF.
  • It is recommended to avoid using a prefix operator as a Master File name, either from the ibi™ WebFOCUS® Reporting Server or in a HOLD file.

Functions You Can Perform With Prefix Operators

The following table lists prefix operators and describes the function of each.

Prefix

Function

ASQ.

Computes the average sum of squares for standard deviation in statistical analysis.

AVE.

Computes the average value of the field.

CNT.

Counts the number of occurrences of the field. The data type of the result is always Integer.

AVE.DST.

Averages the distinct values within a field.

CNT.DST.

Counts the number of distinct values within a field.

SUM.DST.

Sums the distinct values within a field.

CT.

Produces a cumulative total of the specified field. This operator only applies when used in subfootings. For details, see Using Headings, Footings, Titles, and Labels.

DST.

Determines the total number of distinct values in a single pass of a data source.

FST.

Generates the first physical instance of the field. Can be used with numeric or text fields.

LST.

Generates the last physical instance of the field. Can be used with numeric or text fields.

MAX. 

Generates the maximum value of the field.

MDE.

Computes the mode of the field values.

MDN.

Computes the median of the field values.

MIN.

Generates the minimum value of the field.

PCT.

Computes a field percentage based on the total values for the field. The PCT operator can be used with detail as well as summary fields.

PCT.CNT.

Computes a field percentage based on the number of instances found. The format of the result is always F6.2 and cannot be reformatted.

RNK.

Ranks the instances of a BY sort field in the request. Can be used in PRINT commands, COMPUTE commands, and IF or WHERE TOTAL tests.

ROLL.

Recalculates values on summary lines using the aggregated values from lower level summary lines.

RPCT.

Computes a field percentage based on the total values for the field across a row.

ST.

Produces a subtotal value of the specified field at a sort break in the report. This operator only applies when used in subfootings. For details, see Using Headings, Footings, Titles, and Labels.

STDP.

Computes the standard deviation for a population.

STDS.

Computes the standard deviation for a sample.

SUM.

Sums the field values.

TOT.

Totals the field values for use in a heading (includes footings, subheads, and subfoots).

Averaging Values of a Field

The AVE. prefix computes the average value of a particular field. The computation is performed at the lowest sort level of the display command. It is computed as the sum of the field values within a sort group divided by the number of records in that sort group. If the request does not include a sort phrase, AVE. calculates the average for the entire report.

Averaging Values of a Field

This request calculates the average number of education hours spent in each department.

TABLE FILE EMPLOYEE
SUM AVE.ED_HRS BY DEPARTMENT
END

The following shows the output of the request.

            AVE   
DEPARTMENT  ED_HRS
----------  ------
MIS          38.50
PRODUCTION   20.00

Averaging the Sum of Squared Fields

The ASQ. prefix computes the average sum of squares, which is a component of the standard deviation in statistical analysis (shown as a formula in the following image).

Note: If the field format is integer and you get a large set of numbers, the ASQ. result may exceed the limit of the I4 field, which is 2,147,483,647. The display of any number larger than this will generate a negative number or an incorrect positive number. For this reason, we recommend that you do not use Integer fields if this result could occur.

Averaging the Sum of Squared Fields

This request calculates the sum and the sum of squared fields for the DELIVER_AMT field.

TABLE FILE SALES
SUM DELIVER_AMT AND ASQ.DELIVER_AMT
BY CITY
END

The following shows the output of the request.

                              ASQ        
CITY             DELIVER_AMT  DELIVER_AMT
----             -----------  -----------
NEW YORK                 300          980
NEWARK                    60          900
STAMFORD                 430         3637
UNIONDALE                 80         1600

Calculating Maximum and Minimum Field Values

The prefixes MAX. and MIN. produce the maximum and minimum values, respectively, within a sort group. If the request does not include a sort phrase, MAX. and MIN. produce the maximum and minimum values for the entire report.

Calculating Maximum and Minimum Field Values

This report request calculates the maximum and minimum values of SALARY.

TABLE FILE EMPLOYEE
SUM MAX.SALARY AND MIN.SALARY
END

The following shows the output of the request.

    MAX              MIN   
    SALARY           SALARY
    ------           ------
$29,700.00        $8,650.00

Calculating Median and Mode Values for a Field

You can use the MDN. (median) and MDE. (mode) prefix operators, in conjunction with an aggregation display command (SUM, WRITE) and a numeric or smart date field, to calculate the statistical median and mode of the values in the field.

These calculations are not supported in a DEFINE command, in WHERE or IF expressions, in a WITHIN phrase, or in a summary command. If used in a multi-verb request, they must be used at the lowest level of aggregation.

The median is the middle value (50th percentile). If there is an even number of values, the median is the average of the middle two values. The mode is the value that occurs most frequently within the set of values. If no value occurs more frequently than the others, MDE. returns the lowest value.

Calculating the Median and Mode

The following request against the EMPLOYEE data source displays the current salaries and calculates the average (mean), median, and mode within each department.

TABLE FILE EMPLOYEE
SUM CURR_SAL AS 'INDIVIDUAL,SALARIES'
AVE.CURR_SAL AS 'DEPARTMENT,AVERAGE'
MDN.CURR_SAL AS 'DEPARTMENT,MEDIAN'
MDE.CURR_SAL AS 'DEPARTMENT,MODE'
BY DEPARTMENT
ON TABLE SET PAGE NOPAGE
END

Both departments have an even number of employees. For the MIS department, the two middle values are the same, making that value ($18,480.00) both the median and the mode. For the PRODUCTION department, the median is the average of the two middle values ($16,100.00 and $21,120.00) and, since there are no duplicate values, the mode is the lowest value ($9,500.00).

Calculating Column and Row Percentages

For each individual value in a column, PCT. calculates what percentage that field makes up of the column total value. You can control how values are distributed down the column by sorting the column using the BY phrase.

You can also determine percentages for row values. For each individual value in a row that has been sorted using the ACROSS phrase, the RPCT. operator calculates what percentage it makes up for the total value of the row.

Calculating Column Percentages

To calculate each employee share of education hours, issue the following request:

TABLE FILE EMPLOYEE
SUM ED_HRS PCT.ED_HRS BY LAST_NAME
ON TABLE COLUMN-TOTAL
ON TABLE SET PAGE NOPAGE
ON TABLE SET STYLE *
GRID=OFF,$
ENDSTYLE
END

The output is shown in the following image:

If you set PCFORMAT to OLD, PCT. and RPCT. WILL take the same format as the field, and the column may not always total exactly 100 because of the nature of floating-point arithmetic.

Calculating Row Percentages

The following request calculates the total units sold for each product (UNIT_SOLD column), and the percentage that total makes up in relation to the sum of all products sold (RPCT.UNIT_SOLD column) in each city.

TABLE FILE SALES
SUM UNIT_SOLD RPCT.UNIT_SOLD ROW-TOTAL
BY PROD_CODE
ACROSS CITY    WHERE
CITY EQ 'NEW YORK' OR 'STAMFORD'
ON TABLE SET PAGE NOPAGE
ON TABLE SET STYLE *
GRID=OFF,$
ENDSTYLE
END

The output is shown in the following image.

Because UNIT_SOLD has an integer format, the columns created by RPCT. also have integer (I) formats. Therefore, individual percentages may be truncated and the total percentage may be less than 100%. If you require precise totals, redefine the field with a format that declares decimal places (D, F).

Producing a Direct Percent of a Count

When counting occurrences in a file, a common reporting need is determining the relative percentages of each row’s count within the total number of instances. You can do this, for columns only, with the following syntax:

PCT.CNT.fieldname

The format is a decimal value of length seven, with two decimal places and a percent sign.

Producing a Direct Percent of a Count

This request illustrates the relative percentage of the values in the EMP_ID field for each department.

TABLE FILE EMPLOYEE
SUM PCT.CNT.EMP_ID
BY DEPARTMENT
ON TABLE SET PAGE NOPAGE
ON TABLE SET STYLE *
GRID=OFF,$
ENDSTYLE
END

The output is shown in the following image:

Aggregating and Listing Unique Values

The distinct prefix operator (DST.) may be used to aggregate and list unique values of any data source field. Similar in function to the SQL COUNT, SUM, and AVG(DISTINCT col) column functions, it permits you to determine the total number of distinct values in a single pass of the data source.

The DST. operator can be used with the SUM, PRINT or COUNT commands, and also in conjunction with the aggregate prefix operators SUM., CNT., and AVE. Multiple DST. operators are supported in TABLE and TABLEF requests. They are supported in requests that use the BY, ACROSS, and FOR phrases.

Note that in a request using the PRINT command and multiple DST operators, you should issue the command SET PRINTDST=NEW. For more information, see the ibi™ WebFOCUS® Developing Reporting Applications manual.

Use the Distinct Operator

command DST.fieldname

or

SUM [operator].DST.fieldname

where:

command
Is SUM, PRINT, or COUNT.
DST.
Indicates the distinct operator.
fieldname
Indicates the display-field object or field name.
operator
Indicates SUM., CNT., or AVE.

Using the Distinct Operator

The procedure requesting a count of unique ED_HRS values is either:

TABLE FILE EMPLOYEE
SUM CNT.DST.ED_HRS
END

or

TABLE FILE EMPLOYEE
COUNT DST.ED_HRS
END

The output is:

COUNT   
DISTINCT
ED_HRS  
--------
       9

Notice that the count includes records for both employees with the last name SMITH, but excludes the second records for values 50.00, 25.00, and .0, resulting in nine unique ED_HRS values.

Counting Distinct Field Values With Multiple Display Commands

The following request against the GGSALES data source counts the total number of records by region, then the number of records, distinct categories, and distinct products by region and by state. The DST or CNT.DST operator can be used only with the last display command:

TABLE FILE GGSALES                     
COUNT CATEGORY AS 'TOTAL,COUNT'        
  BY REGION                            
SUM CNT.CATEGORY AS 'STATE,COUNT'      
    CNT.DST.CATEGORY    CNT.DST.PRODUCT
  BY REGION                            
  BY ST                                
END

The output is:

                                  COUNT     COUNT   
             TOTAL         STATE  DISTINCT  DISTINCT
Region       COUNT  State  COUNT  CATEGORY  PRODUCT 
------       -----  -----  -----  --------  --------
Midwest       1085  IL       362         3         9
                    MO       361         3         9
                    TX       362         3         9
Northeast     1084  CT       361         3        10
                    MA       360         3        10
                    NY       363         3        10
Southeast     1082  FL       361         3        10
                    GA       361         3        10
                    TN       360         3        10
West          1080  CA       721         3        10
                    WA       359         3        10

Distinct Operator Limitations

  • If you reformat a column created using COUNT DST. or the CNT.DST operator, you must reformat it to an integer (I) data type. If you specify another data type, the following error occurs:
    (FOC950) INVALID REFORMAT OPTION WITH COUNT OR CNT.
  • The following error occurs if you use the prefix operators CNT., SUM., and AVE. with any other display command:
    (FOC1853) CNT/SUM/AVE.DST CAN ONLY BE USED WITH AGGREGATION VERBS
  • The following error occurs if you use DST. in a MATCH command:
    (FOC1854) THE DST OPERATOR IS ONLY SUPPORTED IN TABLE REQUESTS
  • The following error occurs if you reformat a BY field (when used with the PRINT command, the DST.fieldname becomes a BY field):
    (FOC1862) REFORMAT DST.FIELD IS NOT SUPPORTED WITH PRINT
  • The following error occurs if you use the DST. operator with NOSPLIT:
    (FOC1864) THE DST OPERATOR IS NOT SUPPORTED WITH NOSPLIT
  • The following error occurs if you use a multi-verb request, SUM DST.fieldname BY field PRINT fld BY fld (a verb object operator used with the SUM command must be at the lowest level of aggregation):
    (FOC1867) DST OPERATOR MUST BE AT THE LOWEST LEVEL OF AGGREGATION
  • The DST. operator may not be used as part of a HEADING or a FOOTING.
  • The DST., AVE.DST, CNT.DST., and SUM.DST. operators are not supported with WITHIN in a request that uses an aggregation display command, such as SUM. The DST. operator is supported with WITHIN when the request uses the PRINT display command.

Retrieving First and Last Records

FST. is a prefix that displays the first retrieved record selected for a given field. LST. displays the last retrieved record selected for a given field.

When using the FST. and LST. prefix operators, it is important to understand how your data source is structured.

  • If the record is in a segment with values organized from lowest to highest (segment type S1), the first logical record that the FST. prefix operator retrieves is the lowest value in the set of values. The LST. prefix operator would, therefore, retrieve the highest value in the set of values.
  • If the record is in a segment with values organized from highest to lowest (segment type SH1), the first logical record that the FST. prefix operator retrieves is the highest value in the set of values. The LST. prefix operator would, therefore, retrieve the lowest value in the set of values.

For more information on segment types and file design, see the Describing Data With ibi™ WebFOCUS® Language manual. If you wish to reorganize the data in the data source or restructure the data source while reporting, see Improving Report Processing.

Retrieving the First Record

The following request retrieves the first logical record in the EMP_ID field:

TABLE FILE EMPLOYEE
SUM FST.EMP_ID
END

The output is:

FST      
EMP_ID   
------   
071382660

Segment Types and Retrieving Records

The EMPLOYEE data source contains the DEDUCT segment, which orders the fields DED_CODE and DED_AMT from lowest value to highest value (segment type of S1). The DED_CODE field indicates the type of deduction, such as CITY, STATE, FED, and FICA. The following request retrieves the first logical record for DED_CODE for each employee:

TABLE FILE EMPLOYEE
SUM FST.DED_CODE
BY EMP_ID
END

The output is:

           FST     
EMP_ID     DED_CODE
------     --------
071382660  CITY    
112847612  CITY    
117593129  CITY    
119265415  CITY    
119329144  CITY    
123764317  CITY    
126724188  CITY    
219984371  CITY    
326179357  CITY    
451123478  CITY    
543729165  CITY    
818692173  CITY

Note, however, the command SUM LST.DED_CODE would have retrieved the last logical record for DED_CODE for each employee.

If the record is in a segment with values organized from highest to lowest (segment type SH1), the first logical record that the FST. prefix operator retrieves is the highest value in the set of values. The LST. prefix operator would therefore retrieve the lowest value in the set of values.

For example, the EMPLOYEE data source contains the PAYINFO segment, which orders the fields JOBCODE, SALARY, PCT_INC, and DAT_INC from highest value to lowest value (segment type SH1). The following request retrieves the first logical record for SALARY for each employee:

TABLEF FILE EMPLOYEE
SUM FST.SALARY
BY EMP_ID
END

The output is:

                    FST   
EMP_ID              SALARY
------              ------
071382660       $11,000.00
112847612       $13,200.00
117593129       $18,480.00
119265415        $9,500.00
119329144       $29,700.00
123764317       $26,862.00
126724188       $21,120.00
219984371       $18,480.00
326179357       $21,780.00
451123478       $16,100.00
543729165        $9,000.00
818692173       $27,062.00

However, the command SUM LST.SALARY would have retrieved the last logical record for SALARY for each employee.

Summing and Counting Values

You can count occurrences and summarize values with one display command using the prefix operators CNT., SUM., and TOT. Just like the COUNT command, CNT. counts the occurrences of the field it prefixes. Just like the SUM command, SUM. sums the values of the field it prefixes. TOT. sums the values of the field it prefixes when used in a heading (including footings, subheads, and subfoots).

Counting Values With CNT

The following request counts the occurrences of PRODUCT_ID, and sums the value of UNIT_PRICE.

TABLE FILE GGPRODS
SUM CNT.PRODUCT_ID AND UNIT_PRICE
END

The output is:

Product          
Code        Unit 
COUNT       Price
-------     -----
     10    660.00

Summing Values With SUM

The following request counts the occurrences of PRODUCT_ID, and sums the value of UNIT_PRICE.

TABLE FILE GGPRODS
COUNT PRODUCT_ID AND SUM.UNIT_PRICE
END

The output is:

Product          
Code        Unit 
COUNT       Price
-------     -----
     10    660.00

Summing Values With TOT

The following request uses the TOT prefix operator to show the total of current salaries for all employees.

TABLE FILE EMPLOYEE
PRINT LAST_NAME
BY DEPARTMENT
ON TABLE SUBFOOT
"Total salaries equal: <TOT.CURR_SAL"
END

The output is:

DEPARTMENT  LAST_NAME                
----------  ---------                
MIS         SMITH                    
            JONES                    
            MCCOY                    
            BLACKWOOD                
            GREENSPAN                
            CROSS                    
PRODUCTION  STEVENS                  
            SMITH                    
            BANNING                  
            IRVING                   
            ROMANS                   
            MCKNIGHT                 
Total salaries equal:     $222,284.00

Ranking Sort Field Values With RNK.

RANKED BY fieldname, when used in a sort phrase in a TABLE request, not only sorts the data by the specified field, but assigns a RANK value to the instances. The RNK. prefix operator also calculates the rank while allowing the RANK value to be printed anywhere on the page. You use this operator by specifying RNK.fieldname, where fieldname is a BY field in the request.

The ranking process occurs after selecting and sorting records. Therefore, the RNK. operator cannot be used in a WHERE or IF selection test or in a virtual (DEFINE) field. However, RNK.fieldname can be used in a WHERE TOTAL or IF TOTAL test or in a calculated (COMPUTE) value. You can change the default column title for the rank field using an AS phrase.

You can apply the RNK. operator to multiple sort fields, in which case the rank for each BY field is calculated within its higher level BY field.

Calculate Ranks Using the RNK. Prefix Operator

In a PRINT command, COMPUTE expression, or IF/WHERE TOTAL expression :

RNK.field  ...

where:

field
Is a vertical (BY) sort field in the request.

Ranking Within Sort Groups

The following request ranks years of service within department and ranks salary within years of service and department. Note that years of service depends on the value of TODAY. The output for this example was valid when run in September, 2006:

DEFINE FILE EMPDATA
  TODAY/YYMD = &YYMD;
  YRS_SERVICE/I9 = DATEDIF(HIREDATE,TODAY,'Y');
END
TABLE FILE EMPDATA
PRINT SALARY
  RNK.YRS_SERVICE AS 'RANKING,BY,SERVICE'
  RNK.SALARY AS 'SALARY,RANK'
     BY DEPT
     BY HIGHEST YRS_SERVICE
     BY HIGHEST SALARY NOPRINT
WHERE DEPT EQ 'MARKETING' OR 'SALES'
ON TABLE SET PAGE NOPAGE
END

The output is:

                                                    RANKING
                                                    BY       SALARY
DEPT                  YRS_SERVICE           SALARY  SERVICE  RANK
----                  -----------           ------  -------  ------
MARKETING                      17       $55,500.00        1       1
                                        $55,500.00        1       1
                               16       $62,500.00        2       1
                                        $62,500.00        2       1
                                        $62,500.00        2       1
                                        $58,800.00        2       2
                                        $52,000.00        2       3
                                        $35,200.00        2       4
                                        $32,300.00        2       5
                               15       $50,500.00        3       1
                                        $43,400.00        3       2
SALES                          17      $115,000.00        1       1
                                        $54,100.00        1       2
                               16       $70,000.00        2       1
                                        $43,000.00        2       2
                               15       $43,600.00        3       1
                                        $39,000.00        3       2
                               15       $30,500.00        3       3

Using RNK. in a WHERE TOTAL Test

The following request displays only those rows in the highest two salary ranks within the years of service category. Note that years of service depends on the value of TODAY. The output for this example was valid when run in September, 2006:

DEFINE FILE EMPDATA
  TODAY/YYMD = &YYMD;
  YRS_SERVICE/I9 = DATEDIF(HIREDATE,TODAY,'Y');
END
TABLE FILE EMPDATA
PRINT LASTNAME FIRSTNAME RNK.SALARY
BY HIGHEST YRS_SERVICE BY HIGHEST SALARY
WHERE TOTAL RNK.SALARY LE 2
END

The output is:

                                                           RANK
YRS_SERVICE           SALARY  LASTNAME         FIRSTNAME   SALARY
-----------           ------  --------         ---------   ------
         17      $115,000.00  LASTRA           KAREN            1
                  $80,500.00  NOZAWA           JIM              2
         16       $83,000.00  SANCHEZ          EVELYN           1
                  $70,000.00  CASSANOVA        LOIS             2
         15       $62,500.00  HIRSCHMAN        ROSE             1
                              WANG             JOHN             1
                  $50,500.00  LEWIS            CASSANDRA        2

Using RNK. in a COMPUTE Command

The following request sets a flag to Y for records in which the salary rank within department is less than or equal to 5 and the rank of years of service within salary and department is less than or equal to 6. Otherwise, the flag has the value N. Note that the years of service depends on the value of TODAY. The output for this example was valid when run in September, 2006:

DEFINE FILE EMPDATA
  TODAY/YYMD = &YYMD;
  YRS_SERVICE/I9 = DATEDIF(HIREDATE,TODAY,'Y');
END
TABLE FILE EMPDATA
PRINT RNK.SALARY RNK.YRS_SERVICE
COMPUTE FLAG/A1 = IF RNK.SALARY LE 5  AND RNK.YRS_SERVICE LE 6
    THEN 'Y' ELSE 'N';
BY DEPT BY SALARY BY YRS_SERVICE
WHERE DEPT EQ 'MARKETING' OR 'SALES'
ON TABLE SET PAGE NOPAGE
END

The output is:

                                                 RANK   RANK
DEPT                          SALARY YRS_SERVICE SALARY YRS_SERVICE FLAG
----                          ------ ----------- ------ ----------- ----
MARKETING                 $32,300.00          16      1           1 Y
                          $35,200.00          16      2           1 Y
                          $43,400.00          15      3           1 Y
                          $50,500.00          15      4           1 Y
                          $52,000.00          16      5           1 Y
                          $55,500.00          17      6           1 N
                                                      6           1 N
                          $58,800.00          16      7           1 N
                          $62,500.00          16      8           1 N
                                                      8           1 N
                                                      8           1 N
SALES                     $30,500.00          15      1           1 Y
                          $39,000.00          15      2           1 Y
                          $43,000.00          16      3           1 Y
                          $43,600.00          15      4           1 Y
                          $54,100.00          17      5           1 Y
                          $70,000.00          16      6           1 N
                         $115,000.00          17      7           1 N

Rolling Up Calculations on Summary Rows

Using SUMMARIZE and RECOMPUTE, you can recalculate values at sort field breaks, but these calculations use the detail data to calculate the value for the summary line.

Using the ROLL. operator in conjunction with another prefix operator on a summary line recalculates the sort break values using the values from summary lines generated for the lower level sort break.

The operator combinations supported are:

  • ROLL.SUM. (same as ROLL.). Alphanumeric fields are supported with SUM. This returns either the first, minimum, maximum, or last value according to the SUMPREFIX parameter.
  • ROLL.AVE.
  • ROLL.MAX. (supported with alphanumeric fields as well as numeric fields)
  • ROLL.MIN. (supported with alphanumeric fields as well as numeric fields)
  • ROLL.FST. (supported with alphanumeric fields as well as numeric fields)
  • ROLL.LST. (supported with alphanumeric fields as well as numeric fields)
  • ROLL.CNT.
  • ROLL.ASQ.

ROLL.prefix on a summary line indicates that the prefix operation will be performed on the summary values from the next lowest level of summary command.

If the ROLL. operator is used without another prefix operator, it is treated as a SUM. Therefore, if the summary command for the lowest BY field specifies AVE., and the next higher specifies ROLL., the result will be the sum of the averages. To get the average of the averages, you would use ROLL.AVE at the higher level.

Note: With SUMMARIZE and SUB-TOTAL, the same calculations are propagated to all higher level sort breaks.

Roll Up Summary Values

BY field {SUMMARIZE|SUBTOTAL|SUB-TOTAL|RECOMPUTE} [ROLL.][prefix1.]
[field1field2 ...|*] [ROLL.][prefix2.] [fieldn ...]

Or:

BY field
ON field {SUMMARIZE|SUBTOTAL|SUB-TOTAL|RECOMPUTE} ROLL.[prefix.]
[field1field2 ...|*]

where:

ROLL.

Indicates that the summary values should be calculated using the summary values from the next lowest level summary command.

field

Is a BY field in the request.

prefix1, prefix2

Are prefix operators to use for the summary values. It can be one of the following operators: SUM. (the default operator if none is specified), AVE., MAX., MIN., FST., LST., CNT., ASQ.

field1field2fieldn

Are fields to be summarized.

*

Indicates that all fields, numeric and alphanumeric, should be included on the summary lines. You can either use the asterisk to display all columns or reference the specific columns you want to display.

Rolling Up an Average Calculation

The following request against the GGSALES data source contains two sort fields, REGION and ST. The summary command for REGION applies the AVE. operator to the sum of the units value for each state.

TABLE FILE GGSALES
   SUM UNITS AS 'Inventory '
     BY REGION
   BY ST
   ON REGION SUBTOTAL      AVE.  AS 'Average'
   WHERE DATE GE 19971001
   WHERE REGION EQ 'West' OR 'Northeast'
   ON TABLE SET PAGE NOPAGE
   END

On the output, the UNITS values for each state are averaged to calculate the subtotal for each region. The UNITS values for each state are also used to calculate the average for the grand total row.

Region       State  Inventory
------       -----  ----------
Northeast    CT          37234
             MA          35720
             NY          36248

Average Northeast
                         36400

West         CA          75553
             WA          40969

Average West
                         58261


TOTAL                    45144

The following version of the request adds a summary command for the grand total line that includes the ROLL. operator:

TABLE FILE GGSALES
   SUM UNITS AS 'Inventory '
     BY REGION
   BY ST
   ON REGION SUBTOTAL  AVE.  AS 'Average'
   WHERE DATE GE 19971001
   WHERE REGION EQ 'West' OR 'Northeast'
   ON TABLE SUBTOTAL ROLL.AVE. AS ROLL.AVE
   ON TABLE SET PAGE NOPAGE                  
   END

On the output, the UNITS values for each state are averaged to calculate the subtotal for each region, and those region subtotal values are used to calculate the average for the grand total row:

Region       State  Inventory
  ------       -----  ----------
  Northeast    CT          37234
               MA          35720
               NY          36248
  
  Average Northeast  
                           36400     
  
  West         CA          75553
               WA          40969
  
  Average West       
                           58261   
  
  
  ROLL.AVE                 47330

Propagating Rollups to Higher Level Sort Breaks

The following request against the GGSALES data source has three BY fields. The SUBTOTAL command for the PRODUCT sort field specifies AVE., and the SUMMARIZE command for the higher level sort field, REGION, specifies ROLL.AVE.

TABLE FILE GGSALES
SUM UNITS
BY REGION
BY PRODUCT
BY HIGHEST DATE
WHERE DATE GE 19971001
  WHERE REGION EQ 'Midwest' OR 'Northeast'
  WHERE PRODUCT LIKE 'C%'
  ON PRODUCT SUBTOTAL AVE.
  ON REGION SUMMARIZE ROLL.AVE. AS ROLL.AVE
ON TABLE SET PAGE NOPAGE
END

On the output, the detail rows for each date are used to calculate the average for each product. Because of the ROLL.AVE. at the region level, the averages for each product are used to calculate the averages for each region, and the region averages are used to calculate the average for the grand total line:

Region       Product                 Date  Unit Sales
  ------       -------                 ----  ----------
  Midwest      Coffee Grinder    1997/12/01        4648
                                 1997/11/01        3144
                                 1997/10/01        1597
  
  *TOTAL PRODUCT Coffee Grinder                    3129
  
               Coffee Pot        1997/12/01        1769
                                 1997/11/01        1462
                                 1997/10/01        2346
  
  *TOTAL PRODUCT Coffee Pot                        1859    
  
               Croissant         1997/12/01        7436
                                 1997/11/01        5528
                                 1997/10/01        6060
  
  *TOTAL PRODUCT Croissant                         6341     
  ROLL.AVE Midwest                                 3776  
  
  Northeast    Capuccino         1997/12/01        1188
                                 1997/11/01        2282
                                 1997/10/01        3675
  
  *TOTAL PRODUCT Capuccino                         2381   
  
               Coffee Grinder    1997/12/01        1536
                                 1997/11/01        1399
                                 1997/10/01        1315
  
  *TOTAL PRODUCT Coffee Grinder                    1416  
  
               Coffee Pot        1997/12/01        1442
                                 1997/11/01        2129
                                 1997/10/01        2082
  
  *TOTAL PRODUCT Coffee Pot                        1884  
  
               Croissant         1997/12/01        4291
                                 1997/11/01        6978
                                 1997/10/01        4741
  
  *TOTAL PRODUCT Croissant                         5336 
  ROLL.AVE Northeast                               2754   
  
  
  TOTAL                                            3265

Usage Notes for ROLL.

  • ROLL.prefix on a summary line indicates that the prefix operation will be performed on the summary values from the next lowest level of summary command.
  • If no summary command was issued at the level below the ROLL., and no other operator was used in conjunction with the ROLL., a SUM. will be calculated. If the lower level had no summary command and ROLL. was used with another prefix operator (for example, ROLL.AVE.), the specified prefix operator will be used. For example, ROLL.AVE. will become AVE.
  • CNT. prefix shows the number of data lines displayed, which is not affected by MULTILINES.
  • ROLL.CNT. prefix shows the number of summary lines displayed, which is affected by MULTILINES.

Calculating the Standard Deviation for a Population or a Sample

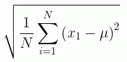
The standard deviation prefix operators return a numeric value that represents the amount of dispersion in the data. The set of data can be specified as the entire population (STDP.) or a sample (STDS.). The standard deviation is the square root of the variance, which is a measure of how observations deviate from their expected value (mean). If specified as a population, the divisor in the standard deviation calculation (also called degrees of freedom) will be the total number of data points, N. If specified as a sample, the divisor will be N-1.

If x¡ is an observation, N is the number of observations, and µ is the mean of all of the observations, the formula for calculating the standard deviation for a population is:

To calculate the standard deviation for a sample, the mean is calculated using the sample observations, and the divisor is N-1 instead of N.

To calculate the standard deviation for a population, the syntax is:

STDP.field

To calculate the standard deviation for a sample, the syntax is:

STDS.field

where:

field

Numeric

Is the set of observations for the standard deviation calculation.

Calculating the Standard Deviation of a Population

The following request calculates the standard deviation of the population of the DOLLARS field converted to double precision.

DEFINE FILE ibisamp/ggsales
DOLLARS/D12.2 = DOLLARS;
END
TABLE FILE ibisamp/ggsales
SUM DOLLARS STDP.DOLLARS 
ON TABLE SET PAGE NOLEAD
ON TABLE SET STYLE *
GRID=OFF,$
ENDSTYLE
END

The output is shown in the following image.

Using Report-Level Prefix Operators

Report level prefix operators are available for headings, footings, subheadings, subfootings, verb objects, and calculated values (COMPUTEs) that calculate the average, maximum, minimum, and count for the entire report. They are based on the TOT. operator, which calculates total values to include in a heading.

These operators cannot be referenced in WHERE or WHERE TOTAL tests. However, they can be used in a COMPUTE command to generate a calculated value that can be used in a WHERE TOTAL test.

Calculate Report-Level Average, Maximum, Minimum, and Count Values

operator.field

where:

operator

Can be one of the following prefix operators.

  • TOTAVE. Calculates the average value of the field for the entire table.
  • TOTMAX. Calculates the maximum value of the field for the entire table.
  • TOTMIN. Calculates the minimum value of the field for the entire table.
  • TOTCNT. Calculates the count of the field instances for the entire table.
field

Is a verb object or calculated value in the request.

Using Prefix Operators in a Heading

The following request uses prefix operators in the heading.

TABLE WF_RETAIL_LITE
HEADING
"Heading Calculations:"
"Total:      <TOT.COGS_US"
"Count:                   <TOTCNT.COGS_US"
"Average:           <TOTAVE.COGS_US"
"Minimum:            <TOTMIN.COGS_US"
"Maximum:      <TOTMAX.COGS_US"
SUM COGS_US CNT.COGS_US AS Count AVE.COGS_US AS Average 
MIN.COGS_US AS Minimum MAX.COGS_US AS Maximum
BY BUSINESS_REGION AS Region
BY PRODUCT_CATEGORY AS Category
WHERE BUSINESS_REGION NE 'Oceania'
ON TABLE SUBTOTAL COGS_US CNT.COGS_US  AS Total
ON TABLE SET PAGE NOPAGE
ON TABLE SET SHOWBLANKS ON
ON TABLE SET STYLE *
type=report,grid=off, size=11,$
ENDSTYLE
END

The output is shown in the following image.

Usage Notes for Report-Level Prefix Operators

  • These operators can be used on a field in a heading or footing without being referenced in a display command in the request.
  • They work in a heading or footing for real or virtual (DEFINE) fields. They work in a display command field list on real fields, virtual (DEFINE) fields, and calculated (COMPUTE) values that are calculated prior to their use in the request.
  • They can be used in subheadings and subfootings to reference the total value for the entire report.