Standardabweichung
Die Standardabweichung (StdDev) s ist ein Indikator für die Streubreite der Wahrscheinlichkeit um deren Mitte.
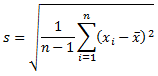
Die mittlere Abweichung wird folgendermaßen berechnet:

wobei
der Durchschnittswert der Gruppe ist
- n die Anzahl der Werte in der Gruppe (Count) ist
Wenn die Anzahl der Werte (n) eins beträgt, wird ein Fehler zurückgegeben.
Übergeordnetes Thema: Aggregationen und statistische Messgrößen