Varianza
La varianza de muestra, s², es una indicación de la dispersión de la distribución de la probabilidad con respecto a su centro.
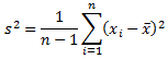
Esto se calcula de la siguiente manera:

donde
es el valor promedio del grupo - n es el número de valores en el grupo (recuento)
Si el número de valores (n) es uno, se devolverá un error.
Tema principal: Medidas de agregación y estadísticas