Desviación estándar
La desviación estándar (StdDev), s, es una indicación de la dispersión de la probabilidad con respecto a su centro.
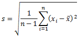
Esto se calcula de la siguiente manera:

donde
es el valor promedio del grupo.
- n es el número de valores del grupo (recuento).
Si el número de valores (n) es uno, se devolverá un error.
Tema principal: Medidas de agregación y estadísticas