표준 편차
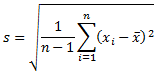
표준 편차(StdDev), s는 확률이 중심에서 얼마나 분산되어 있는지를 나타냅니다.
다음과 같이 계산됩니다.

여기서
: 그룹의 평균 값
- n: 그룹의 값 수(카운트)
값의 수(n)가 1이면 오류가 반환됩니다.
상위 주제: 집계 및 통계 측정
표준 편차(StdDev), s는 확률이 중심에서 얼마나 분산되어 있는지를 나타냅니다.
다음과 같이 계산됩니다.

여기서
: 그룹의 평균 값
값의 수(n)가 1이면 오류가 반환됩니다.