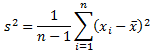
方差 示例方差 (s²) 表示概率分布与其中心的分散程度。 其计算公式如下: 其中, 是组的平均值,n 是组中值的数目(计数) 如果值的数目 (n) 为一,则将返回错误。 父主题: 聚合和统计度量值主页进行自己的计算聚合和统计度量值方差
方差 示例方差 (s²) 表示概率分布与其中心的分散程度。 其计算公式如下: 其中, 是组的平均值,n 是组中值的数目(计数) 如果值的数目 (n) 为一,则将返回错误。 父主题: 聚合和统计度量值主页进行自己的计算聚合和统计度量值方差