Distancia euclidiana
La Distancia euclidiana es una medida de distancia común cuando se realiza una agrupación jerárquica en clúster.
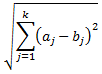
La distancia euclidiana entre dos puntos, a y b, con k dimensiones se calcula de la siguiente forma:
La distancia euclidiana siempre es mayor o igual que cero. La medición será cero para puntos idénticos o un número más alto para puntos que muestren poca similitud.
En la ilustración siguiente se muestra un ejemplo de dos puntos a y b. Cada punto se describe con cinco valores. Las líneas de puntos de la ilustración son las distancias (a1-b1), (a2-b2), (a3-b3), (a4-b4) y (a5-b5) que se introducen en la ecuación de arriba.


Tema principal: Mediciones de distancia