Distanza City Block
La Distanza City Block è una misura di distanza comune quando si esegue il clustering gerarchico.
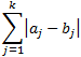
La Distanza City Block tra due punti, a e b, con k dimensioni viene calcolata come:
La distanza City Block è sempre maggiore o uguale a zero. La misurazione sarà pari a zero per i punti identici e alta per punti che mostrano poca similarità.

Nella maggior parte dei casi, questa misura della distanza produce risultati simili alla distanza euclidea. Si noti, tuttavia, che con la distanza City Block, l'effetto di una grande differenza in una singola dimensione è ridotto (dato che le distanze non sono al quadrato).
Il nome distanza City Block (chiamata anche distanza di Manhattan) si spiega se si considerano due punti nel piano xy. La distanza più breve tra i due punti è lungo l'ipotenusa, vale a dire la distanza euclidea. La distanza City Block viene invece calcolata come la somma tra la distanza in x e la distanza in y, che è simile al modo in cui ci si muove in una città (come Manhattan) in cui ci si deve spostare tra gli edifici invece di andare solo diritto.