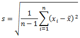
标准偏差 标准偏差 (StdDev) s 表示概率与其中心的分散程度。 其计算公式如下: 其中 是组的平均值 n 是组中值的数目(计数) 如果值的数目 (n) 为一,则将返回错误。 父主题: 聚合和统计度量值主页分析数据进行自己的计算聚合和统计度量值标准偏差
标准偏差 标准偏差 (StdDev) s 表示概率与其中心的分散程度。 其计算公式如下: 其中 是组的平均值 n 是组中值的数目(计数) 如果值的数目 (n) 为一,则将返回错误。 父主题: 聚合和统计度量值主页分析数据进行自己的计算聚合和统计度量值标准偏差