Euklidische Distanz
Die Euklidische Distanz ist eine gängige Entfernungsmessgröße beim hierarchischen Clustering.
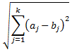
Die Euklidische Distanz zwischen zwei Punkten a und b mit k Dimensionen berechnet sich wie folgt:
Die Euklidische Distanz ist immer größer oder gleich Null. Der Messwert ergibt Null für identische Punkte und er ist hoch für Punkte mit geringer Ähnlichkeit.
Die folgende Beispielabbildung zeigt zwei Punkte namens a und b. Jeder Punkt wird durch fünf Werte beschrieben. Die gepunkteten Linien in der Abbildung verdeutlichen die Entfernungen (a1-b1), (a2-b2), (a3-b3), (a4-b4) und (a5-b5), die in die obige Rechnung eingesetzt werden.


Übergeordnetes Thema: Distanzmaße