小提琴图算法
可以通过为箱线图添加核密度估计 (KDE) 来创建小提琴图,从而更详细地展示各类别的数值分布情况。
高斯核
KDE 采用“高斯核”估计进行计算。
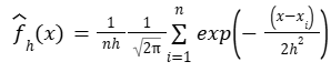
任意点 x 的核密度估计值
计算公式如下:

其中
- h 表示带宽
- n 表示箱数
- xi 表示第 i 个箱。
注: 标准差
设置为 1。
设置为 1。带宽 - Silverman 的经验法则
带宽是使用 Silverman 的经验法则(也称为正态分布近似或高斯近似)计算的。它可以实现均方积分误差最小化。
带宽 h 计算公式如下:
![]()
其中
表示标准偏差- IQR 表示四分位数间距
- n 表示样本量。
父主题: 创建小提琴图