Écart type
L'écart type (StdDev), s, désigne un indicateur pour la répartition des probabilités autour de leur moyenne.
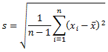
Il se calcule comme suit :

où
correspond à la valeur moyenne du groupe
- n correspond au nombre de valeurs dans le groupe (Total)
Si le nombre de valeurs (n) est égal à un, un message d'erreur est envoyé.
Sujet parent : Agrégations et mesures statistiques