Deviazione standard
La deviazione standard (StdDev), s, indica il livello di dispersione della distribuzione della probabilità rispetto al suo centro.
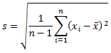
Viene calcolata nel modo seguente:

dove
è il valore medio del gruppo
- n è il numero di valori nel gruppo (conteggio)
Se il numero di valori (n) è uno, viene restituito un errore.
Argomento principale: Aggregazioni e misure statistiche