欧氏距离
欧氏距离是进行层级群集时常用的距离度量。
a 和 b 两个点(具有 k 维度)之间的欧氏距离计算方法为:
欧氏距离总是大于或等于零。对于相同的点,度量为零,对于显示较少相似度的点,度量较高。
下图显示的是称为 a 和 b 两个点的示例。图中的虚线为距离 (a1-b1)、(a2-b2)、(a3-b3)、(a4-b4) 和 (a5-b5)(在上面的公式中输入)。


父主题: 距离度量
欧氏距离是进行层级群集时常用的距离度量。
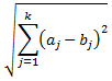
a 和 b 两个点(具有 k 维度)之间的欧氏距离计算方法为:
欧氏距离总是大于或等于零。对于相同的点,度量为零,对于显示较少相似度的点,度量较高。
