Algoritmo cerchi di confronto
I cerchi di confronto consentono di mostrare se le medie del gruppo per tutte le coppie differiscono in modo significativo le une dalle altre. Per il calcolo viene utilizzato il metodo Tukey-Kramer. Ciascun gruppo (ogni Box-plot) ottiene un cerchio il cui centro è allineato con il valore medio del gruppo.
Il raggio del cerchio, ri, viene calcolato come segue:


dove
- L'errore quadratico medio rappresenta l'errore medio standard (la varianza campionaria totale) per ciascun rettangolo:

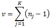
- v rappresenta i gradi di libertà:

- nj è il numero di record nel gruppo (conteggio)
- K è il numero di gruppi
dove q* rappresenta il valore critico e q il quantile alfa superiore della distribuzione dell'intervallo studentizzato con K gruppi e v gradi di libertà. Il livello alfa è specificato nella finestra di dialogo Proprietà di visualizzazione. Per i dettagli sulla modalità di calcolo del quantile, vedere Aggregazioni e misure statistiche. Il valore di q viene calcolato e aggiornato ogni volta che si modifica il filtro dell'asse.
Se i cerchi di gruppi differenti non si sovrappongono (o se l'angolo esterno di intersezione è inferiore a 90 gradi), la media dei due gruppi è in genere significativamente diversa. Se i cerchi presentano un'ampia sovrapposizione, le medie non sono significativamente diverse.
Il motivo per cui la sovrapposizione definisce se le medie dei gruppi siano significative o meno può essere dedotta dal teorema di Pitagora.
| Cerchi di confronto | Espressione matematica | Interpretazione |
|---|---|---|
![]() |
|
I gruppi sono significativamente diversi. |
![]() |
![]() |
Il bordo è significativamente diverso. |
![]() |
![]() |
I gruppi non sono significativamente diversi. |
Argomento principale: Cerchi di confronto




